Κλίμακα Μποφόρ. Τι είναι η Beaufort Wind Force Scale. Ανά βαθμό, φαινόμενα ανέμου σε θάλασσα και ξηρά, ταχύτητα ανέμου (m/s, km/h, κόμβοι), ύψος κύματος κ.ά.
Τι είναι η κλίμακα Μποφόρ – Beaufort Wind Force Scale
Η κλίμακα Μποφόρ είναι ένας εμπειρικός τρόπος μέτρησης της έντασης των ανέμων, που βασίζεται στην παρατήρηση των αποτελεσμάτων του ανέμου στη στεριά ή τη θάλασσα.
Το πλήρες επίσημο όνομά της είναι Beaufort Wind Force Scale = Κλίμακα (Έντασης Ανέμου) Μποφόρ.
Η κλίμακα Μποφόρ επινοήθηκε το 1806 από τον Ιρλανδό Ναύαρχο και υδρογράφο Σερ Φράνσις Μποφόρ (Sir Francis Beaufort)
Ο Μποφόρ ήταν επικεφαλής της υδρογραφικής υπηρεσίας του αγγλικού ναυτικού και επινόησε μια απλή κλίμακα δεκατριών βαθμών (0-12) για την εμπειρική μέτρηση των ανέμων, βασισμένη αρχικά στα αποτελέσματα που είχε ο άνεμος στα πανιά ενός αγγλικού πολεμικού πλοίου:
Χρονολόγιο – Ιστορία και εξέλιξη της κλίμακας Μποφόρ
1806 Επινόηση της κλίμακας Μποφόρ από τον Sir Francis Beaufort 1830 Η χρήση της κλίμακας είχε καθιερωθεί στα ημερολόγια των πλοίων 1835 Υιοθετήθηκε από το 1ο Διεθνές Μετεωρολογικό Συνέδριο των Βρυξελλών 1838 Υιοθετήθηκε από το Βρετανικό Ναυαρχείο 1874 Η Διεθνής Μετεωρολογική Επιτροπή αποφάσισε τη διεθνή χρήση της.Τροποποιήσεις της κλίμακας Beaufort
1906 Εξαιτίας της ατμοκίνησης, τροποποιήθηκε έτσι ώστε να περιγράφει τα αποτελέσματα του ανέμου στην επιφάνεια της θάλασσας και όχι στα πανιά. 1923 Ο Τζορτζ Σίμπσον, διευθυντής της Βρετανικής Μετεωρολογικής Υπηρεσίας, πρόσθεσε στην κλίμακα την περιγραφή των αποτελεσμάτων του ανέμου στην ξηρά και συσχέτισε τους βαθμούς της κλίμακας με την ταχύτητα του ανέμου (δείτε παρακάτω) 1946 Επεκτάθηκε έως τον 17ο βαθμό, κυρίως για να συμπεριλάβει και ορισμένους τροπικούς τυφώνες και χρησιμοποιείται σήμερα μόνο στην Κίνα και την Ταϊβάν για να περιγράφει τέτοιου είδους φαινόμενα. 1970 Επανήλθε στο μέγιστο όριο των 12 ΜποφόρΚλίμακα Μποφόρ – Χαρακτηρισμός ανέμου & θάλασσας
| Μποφόρ | Χαρακτηρισμός ανέμου | Χαρακτηρισμός θάλασσας | Φαινόμενα στη θάλασσα |
|---|---|---|---|
|
0
|
Άπνοια (νηνεμία) | Γαλήνια | Επίπεδη, κατοπτρική επιφάνεια (κοινώς «θάλασσα λάδι»). |
|
1
|
Σχεδόν άπνοια / Υποπνέων (ελαφρύ αεράκι) | Ρυτιδούμενη | Το νερό κάνει μικρές «ρυτίδες». |
|
2
|
Πολύ ασθενής (ελαφριά αύρα) | Ήρεμη | Μικρά κυματάκια που δεν «σπάνε». Οι κορυφές τους έχουν υαλώδη μορφή και ποτέ αφρό. |
|
3
|
Ασθενής (γλυκιά αύρα) | Λίγο ταραγμένη | Τα μικρά κύματα αρχίζουν να σπάνε και εμφανίζεται λίγος αφρός («προβατάκια»). |
|
4
|
Σχεδόν μέτριος (μέτρια αύρα) | Λίγο ταραγμένη ως ταραγμένη (μέτρια) | Μέτρια κύματα, εμφανίζεται αφρός και σταγονίδια νερού (πίτυλος). |
|
5
|
Μέτριος | Ταραγμένη | Μεγαλύτερα κύματα (ύψους 1,2 – 2,5 μ.), εμφανίζονται αφρώδεις κορυφές παντού. |
|
6
|
Ισχυρός | Κυματώδης | Μεγάλα κύματα (ύψους 2 – 4 μ.) με επιμήκεις αφρώδεις κορυφές («άσπρα άλογα») και έντονο πίτυλο. |
|
7
|
Σφοδρός / Σχεδόν Θυελλώδης (Near Gale) |
Κυματώδης έως πολύ κυματώδης | Η θάλασσα ογκούται (φουσκώνει) Λευκός αφρός από κύματα (ύψους 3 – 5 μ.) που σπάζουν αρχίζει να παρασύρεται και να σχηματίζονται ραβδώσεις κατά τη διεύθυνση του ανέμου. |
|
8
|
Θυελλώδης (Gale) | Πολύ κυματώδης έως τρικυμιώδης | Η θάλασσα αρχίζει να φουρτουνιάζει. Σχετικά ψηλά κύματα (4 – 6 μ.) με προεξέχουσες κορυφές που αρχίζουν να σπάνε. Σχηματίζονται έντονες λωρίδες αφρού κατά τη διεύθυνση του ανέμου. Μεγάλες ποσότητες αιωρούμενου αφρού. |
|
9
|
Πολύ Θυελλώδης (Strong Gale) | Τρικυμιώδης | Ψηλά κύματα (6 – 9 μ.) με πυκνές ραβδώσεις αφρού κατά την διεύθυνση του ανέμου. Οι κορυφές των κυμάτων αρχίζουν να γέρνουν, να πέφτουν και να κυλίονται. Ο αφρός είναι δυνατόν να επηρεάζει την ορατότητα. |
|
10
|
Θύελλα (Storm) | Πολύ τρικυμιώδης | Πολύ ψηλά (8 – 12,5 μ.) κύματα με μακριές λοφώδεις ράχες. Το σπάσιμο και κύλισμα των κορυφών των κυμάτων γίνεται έντονο και βίαιο. Η θάλασσα εμφανίζει μεγάλα λευκά μπαλώματα και η συνολική της εμφάνιση αρχίζει να ασπρίζει. Η ορατότητα μειώνεται. |
|
11
|
Βίαιη / Σφοδρή θύελλα (Violent Storm) |
Εξαιρετικά τρικυμιώδης (ή Άγρια) |
Εξαιρετικά ψηλά (9 – 14 μ.) και ογκώδη κύματα, μεγάλες ποσότητες αιωρούμενου αφρού Μικρή ορατότητα. Δύσκολη η θέα πλοίων μικρής και μεσαίας χωρητικότητας, ίσως για λίγη ώρα να χάνονται πίσω από τα κύματα. |
|
12
|
Τυφώνας (Hurricane-force)* |
Μαινόμενη (ή Πολύ άγρια) |
Τεράστια κύματα (14 μ. και άνω). Ο αέρας γεμίζει με αφρό και πίτυλο, η θάλασσα ασπρίζει εντελώς. Ελάχιστη έως μηδενική ορατότητα. |
Ξηρά – Κλίμακα Μποφόρ – Beaufort Wind Force Scale
Το 1923 ο Τζορτζ Σίμπσον, διευθυντής της Βρετανικής Μετεωρολογικής Υπηρεσίας, πρόσθεσε στην κλίμακα Μποφώρ την περιγραφή των αποτελεσμάτων του ανέμου στην ξηρά και συσχέτισε τους βαθμούς της κλίμακας με την ταχύτητα του ανέμου.
| Μποφόρ | Χαρακτηρισμός ανέμου | Φαινόμενα στην ξηρά |
|---|---|---|
|
0
|
Άπνοια (νηνεμία) | Δεν φυσά άνεμος, ο καπνός υψώνεται κατακόρυφα. |
|
1
|
Σχεδόν άπνοια / Υποπνέων (ελαφρύ αεράκι) | Ο άνεμος μετακινεί τον καπνό, όχι όμως τον ανεμοδείκτη. |
|
2
|
Πολύ ασθενής (ελαφριά αύρα) | Ο άνεμος γίνεται αισθητός στο δέρμα Τα φύλλα κινούνται. |
|
3
|
Ασθενής (γλυκιά αύρα) | Φύλλα και μικρά κλαριά κινούνται διαρκώς. |
|
4
|
Σχεδόν μέτριος (μέτρια αύρα) | Ο άνεμος σηκώνει σκόνη και πεσμένα χαρτιά. Τα κλαδιά αρχίζουν να κινούνται. |
|
5
|
Μέτριος | Μικρά δέντρα αρχίζουν να κινούνται. |
|
6
|
Ισχυρός | Μεγάλα κλαδιά κινούνται και ο αέρας σφυρίζει. Η χρήση της ομπρέλας γίνεται δύσκολη. |
|
7
|
Σφοδρός / Σχεδόν Θυελλώδης (Near Gale) |
Τα δέντρα κινούνται ολόκληρα. Το περπάτημα ενάντια στον άνεμο γίνεται δύσκολο. |
|
8
|
Θυελλώδης (Gale) | Μεγάλα δέντρα κινούνται ολόκληρα και μικρά κλαδιά σπάνε. Η οδήγηση γίνεται δύσκολη Το περπάτημα ενάντια στον άνεμο εξαιρετικά δύσκολο. |
|
9
|
Πολύ Θυελλώδης (Strong Gale) | Μεγάλα κλαδιά σπάνε, μικρές ζημιές σε καμινάδες και σκεπές. Προσωρινή σήμανση και οδοφράγματα παρασύρονται. Δύσκολη η όρθια στάση. |
|
10
|
Θύελλα (Storm) | Σπάνια παρατηρείται στο εσωτερικό της ξηράς. Δέντρα σπάζουν ή ξεριζώνονται. Πολλά κεραμίδια αποσπώνται από τις σκεπές Αρκετές ζημιές στο εξωτερικό των κτιρίων. |
|
11
|
Βίαιη / Σφοδρή θύελλα (Violent Storm) |
Πολύ σπάνια παρατηρείται στο εσωτερικό της ξηράς. Πολλές στέγες υφίστανται μεγάλη ζημιά. Αρκετές ζημιές σε κτίρια, αυτοκίνητα, πάρκα. Έπιπλα και βαριά αντικείμενα εκτός κτιρίων παρασύρονται. Αδύνατη η όρθια στάση. Εκτεταμένες ζημιές στη βλάστηση. |
|
12
|
Τυφώνας (Hurricane-force)* |
Εξαιρετικά σπάνιο συμβάν στο εσωτερικό της ξηράς. Σοβαρές καταστροφές σε μεγάλη έκταση. Μερικά παράθυρα μπορεί να σπάσουν. Κινητά σπίτια (mobile homes), κακής κατασκευής υπόστεγα και αχυρώνες υφίστανται μεγάλες ζημιές ή καταστρέφονται. Συντρίμμια εκσφενδονίζονται και παρασύρονται. Πολύ εκτεταμένες ζημιές στη βλάστηση. |
Προσοχή: Τα ονόματα «storm» (καταιγίδα) και «hurricane» (τυφώνας) στην κλίμακα Μποφόρ αναφέρονται αποκλειστικά στην ισχύ του ανέμου, χωρίς αυτό να σημαίνει υποχρεωτικά την ταυτόχρονη ύπαρξη κάποιου άλλου μετεωρολογικού φαινομένου.
Στην Ελλάδα, όταν η ΕΜΥ εκδώσει δελτίο επικίνδυνων καιρικών φαινομένων με πρόγνωση για ανέμους 10 ή 11 Μποφόρ, αποφεύγεται η χρήση του όρου καταιγίδα (storm), για να μην δημιουργείται σύγχυση με το γνωστό μετεωρολογικό φαινόμενο που συνοδεύεται από αστραπές, κεραυνούς, έντονη βροχόπτωση και ισχυρούς ανέμους (μερικές φορές και χαλάζι).
Αντί γι’ αυτό, αναφέρεται ότι «οι άνεμοι θα φθάσουν την ένταση της θύελλας» (κατ’ αντιστοιχία του όρου «hurricane-force winds»).
Φωτογραφίες κατάστασης θάλασσα – Slider
Δείτε την κατάσταση της θάλασσας στις διάφορες κατηγορίες της Κλίμακας, με φωτογραφικά παραδείγματα.












Το ύψος των κυμάτων που αναφέρεται στην επίσημη Κλίμακα για τις κατηγορίες 1 – 12 αφορά τους ανοιχτούς ωκεανούς και μόνο αφού ο άνεμος έχει διατηρήσει την αναφερόμενη ταχύτητα επί αρκετές ώρες. Αντιθέτως, κοντά σε ακτές τα αντίστοιχα ύψη είναι κατά πολύ μικρότερα.
Πίνακας Μποφόρ – Ταχύτητα ανέμου και ύψος κύματος σε θάλασσα
| Μποφόρ | Ταχύτητα ανέμου | Ύψος κυμάτων (m) | ||||
|---|---|---|---|---|---|---|
| m/s | km/h | mph | kn | Ανοιχτή θάλασσα (Ατλαντικός) | Αβαθή, όρμοι και λίμνες | |
|
0
|
0,0 − <0,3 | 0 | 0 − <1,2 | 0 − <1 | − | − |
|
1
|
0,3 − <1,6 | 1 − 5 | 1,2 − <4,6 | 1 − <4 | 0,0 − 0,2 | 0,05 |
|
2
|
1,6 − <3,4 | 6 − 11 | 4,6 − <8,1 | 4 − <7 | 0,5 − 0,75 | 0,6 |
|
3
|
3,4 − <5,5 | 12 − 19 | 8,1 − <12,7 | 7 − <11 | ||
|
4
|
5,5 − <8,0 | 20 − 28 | 12,7 − <18,4 | 11 − <16 | 0,8 − 1,2 | 1,0 |
|
5
|
8,0 − <10,8 | 29 − 38 | 18,4 − <25,3 | 16 − <22 | 1,2 − 2,0 | 1,5 |
|
6
|
10,8 − <13,9 | 39 − 49 | 25,3 − <32,2 | 22 − <28 | 2,0 − 3,5 | 2,3 |
|
7
|
13,9 − <17,2 | 50 − 61 | 32,2 − <39,1 | 28 − <34 | 3,5 − 6,0 | 3,0 |
|
8
|
17,2 − <20,8 | 62 − 74 | 39,1 − <47,2 | 34 − <41 | πάνω από 6,0 | 4,0 |
|
9
|
20,8 − <24,5 | 75 − 88 | 47,2 − <55,2 | 41 − <48 | ||
|
10
|
24,5 − <28,5 | 89 − 102 | 55,2 − <64,4 | 48 − <56 | έως 14,0 | 5,5 |
|
11
|
28,5 − <32,7 | 103 − 117 | 64,4 − <73,6 | 56 − <64 | πάνω από 14,0 | − |
|
12
|
>32,7 | >118 | >73,6 | >64 | ||
Κλίμακα Μποφόρ και ταχύτητα ανέμου – μαθηματικός τύπος
Οι βαθμοί της κλίμακας συσχετίζονται με την ταχύτητα του ανέμου, όπως αυτή μετριέται από ένα ανεμόμετρο με τον εμπειρικό τύπο![]()
όπου v είναι η ταχύτητα του ανέμου σε m/s και B οι βαθμοί Μποφόρ.
Αν η ταχύτητα μετριέται σε άλλες μονάδες ισχύουν οι τύποι
α. Όταν η ταχύτητα μετριέται σε κόμβους
![]()
β. Όταν η ταχύτητα μετριέται σε km/h
![]()
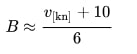
Αντίστροφα, το μέγεθος Μποφόρ μπορεί να υπολογιστεί προσεγγιστικά από την ταχύτητα του ανέμου με τη σχέση

η οποία όμως ισχύει ικανοποιητικά για μεγέθη της κλίμακας μεταξύ 3 και 10.
Ο Ιρλανδός Ναύαρχος – υδρογράφος Φράνσις Μποφόρ (Francis Beaufort)
Η κλίμακα Μποφόρ επινοήθηκε το 1806 από τον Ιρλανδό Ναύαρχο και υδρογράφο Σερ Φράνσις Μποφόρ (Sir Francis Beaufort) (27 Μαΐου 1774 – 17 Δεκεμβρίου 1857), προκειμένου να τυποποιηθεί η περιγραφή των καιρικών συνθηκών και να διευκολυνθεί η συνεννόηση των ναυτιλλομένων.
Ο Μποφόρ υπήρξε μέλος της Βασιλικής Εταιρείας (Royal Society) και της Βασιλικής Γεωγραφικής Εταιρείας (Royal Geographical Society) και καταγόταν από τους Ουγενότους που εγκατέλειψαν τη Γαλλία μετά τη νύχτα του Αγίου Βαρθολομαίου και τελικά εγκαταστάθηκαν στην Ιρλανδία.
Αν και εγκατέλειψε το σχολείο στην ηλικία των 14 ετών για να μπαρκάρει, αργότερα κατόρθωσε να σχετιστεί με μερικούς από τους κορυφαίους επιστήμονες της εποχής του, όπως τον Τζορτζ Έρι, τον Τζον Χέρσελ και τον Τσαρλς Μπάμπατζ.
Ο Μποφόρ ναυάγησε σε ηλικία 15 ετών και κινδύνεψε από λιμό. Αιτία ήταν ένας ελαττωματικός ναυτικός χάρτης και γι αυτό ασχολήθηκε ιδιαίτερα με την εκπαίδευσης των ναυτικών και τη δημιουργία ναυτικών χαρτών υψηλής ακρίβειας.
Ξεκινώντας από ένα εμπορικό πλοίο της Βρετανικής Εταιρίας Ανατολικών Ινδιών (British East India Company), ανελίχθηκε κατά τη διάρκεια των Ναπολεόντιων Πολέμων σε δόκιμο αξιωματικό, υπολοχαγό, κυβερνήτη και τελικά σε καπετάνιο στο Βασιλικό Ναυτικό.
Ενώ οι άλλοι αξιωματικοί αναζητούσαν ευκαιρίες να ξεκουραστούν ο Μποφόρ αξιοποιούσε τον ελεύθερο χρόνο του κάνοντας αστρονομικές παρατηρήσεις, υπολογίζοντας γεωγραφικά μήκη και πλάτη και μετρώντας ακτογραμμές.
Το 1829, σε ηλικία 55 ετών (ηλικία συνταξιοδότησης για τους περισσότερους συναδέλφους του), o Μποφόρ έγινε υδρογράφος του βρετανικού ναυαρχείου. Παρέμεινε στη θέση αυτή για μία εικοσιπενταετία, ρεκόρ που δεν καταρρίφθηκε ούτε από τους διαδόχους του.
Μετέτρεψε ένα μέχρι τότε ασήμαντο χαρτογραφικό αποθετήριο στο μεγαλύτερο χαρτογραφικό και ερευνητικό ινστιτούτο παγκοσμίως. Μερικοί από τους πολύ καλούς χάρτες που δημιούργησε συνεχίζουν να χρησιμοποιούνται έως και σήμερα, παρά την παρέλευση διακοσίων χρόνων από τη δημιουργία τους.
Κατά τη διάρκεια της θητείας του, μερικά από τα σημαντικότερα αστεροσκοπεία στο Γκρήνουιτς της Αγγλίας και στο Ακρωτήριο της Καλής Ελπίδας στη Αφρική βρέθηκαν υπό την εποπτεία του.
Ο Μποφόρ πέθανε στις 17 Δεκεμβρίου του 1857 στο Σάσεξ της Αγγλίας σε ηλικία 83 ετών. Κηδεύτηκε στο ναό του αγίου Ιωάννη στο Χάκνεϊ του Λονδίνου και ο τάφος του διατηρείται έως σήμερα.
Ο Μποφόρ, όπως και άλλοι πρωτοπόροι εξερευνητές έδωσε το όνομά του σε αρκετές ανακαλύψεις του. Ανάμεσα τους συγκαταλέγονται:
Η Θάλασσα Μποφόρ (βραχίονας του Αρκτικού Ωκεανού). Η Νήσος Μποφόρ στην Ανταρκτική. Η νησίδα Μποφόρ στο Βόρειο Ατλαντικό Ωκεανό. Via
Η 1η κλίμακα του Beaufort το 1806
| Category | Description |
|---|---|
| 0 | Calm |
| 1 | Faint air just not calm |
| 2 | Light airs |
| 3 | Light breeze |
| 4 | Gentle breeze |
| 5 | Moderate breeze |
| 6 | Fresh breeze |
| 7 | Gentle steady gale |
| 8 | Moderate gale |
| 9 | Brisk gale |
| 10 | Fresh gale |
| 11 | Hard gale |
| 12 | Hard gale with heavy gusts |
| 13 | Storm |
Beaufort modified his scale in 1807, when he decided to combine categories 1 and 2 and thereafter use a scale extending from 0 to 12.
The same year, he added a description of the canvas that could be carried by a fully rigged frigate in different wind conditions. Like the observers of the Palatine Meteorological Society, he frequently used halves, which suggests he was confident he could estimate wind force accurately
Beaufort’s criterion 1832
To denote the force of the wind and the state of the weather, Royal Navy officers were ordered to use the scales below.

Κλίμακες Μποφόρ – Σαφίρ Σίμπσον – Φουτζίτα – TORRO
Στις υπόλοιπες περιοχές του κόσμου συνήθως προτιμάται η Κλίμακα Σαφίρ-Σίμπσον, της οποίας το 1 αντιστοιχεί στο 12 της κλίμακας Μποφόρ, χωρίς να υπάρχει άλλη αναλογία στα μεγαλύτερα μεγέθη.
Η Κλίμακα Σαφίρ-Σίμπσον ή Κλίμακα Τυφώνων των Σαφίρ-Σίμπσον (Saffir–Simpson Hurricane Scale) είναι κλίμακα που χρησιμοποιείται στο Δυτικό Ημισφαίριο για τους τροπικούς κυκλώνες (γνωστοί στο Δυτικό Ημισφαίριο ως hurricanes / τυφώνες) που υπερβαίνουν τις εντάσεις των τροπικών υφέσεων και τροπικών καταιγίδων.
Η κλίμακα κατατάσσει τους τυφώνες σε πέντε κατηγορίες με βάση την ένταση των ανέμων και για την ακρίβεια τη σταθερή ταχύτητα ανέμου, χωρίς να υπολογίζονται οι στιγμιαίες ισχυρότερες ριπές ανέμου.
Επίσης, το ανώτερο όριο του επιπέδου των 12 Μποφόρ (η αρχή της ταχύτητας του τυφώνα) ισούται ακριβώς με το κατώτερο όριο του επιπέδου F1 στην Κλίμακα Φουτζίτα και το κατώτερο όριο του επιπέδου Τ2 στην Κλίμακα TORRO.
Οι δύο αυτές κλίμακες, ωστόσο, είναι ανεξάρτητες και χρησιμοποιούνται για την εκτίμηση της έντασης ανέμου και την ταξινόμηση των καταστροφών που προκαλούν οι σίφωνες.
Η Κλίμακα Φουτζίτα (Fujita Scale) ή Κλίμακα Fujita-Pearson είναι μια κλίμακα για την ταξινόμηση της έντασης των σιφώνων, με βάση τις ζημιές που προκαλούν οι σίφωνες στις ανθρώπινες κατασκευές και στη βλάστηση.
Η Κλίμακα TORRO (TORRO tornado intensity scale), γνωστή επίσης και ως Κλίμακα-Τ (T-Scale), είναι μια κλίμακα για την μέτρηση της ταχύτητας των ανέμων μέσα στους σίφωνες.
Η κλίμακα Μποφόρ χρησιμοποιείται εκτεταμένα στα δελτία καιρού και στις μετεωρολογικές προγνώσεις.