Κόλουρη πυραμίδα υπολογισμός εμβαδόν συνολικής επιφάνειας online. Γεωμετρία, γεωμετρικό στερεό – σχήμα. Μαθηματικός τύπος. Truncated Square Pyramid Area.
Πυραμίδα κόλουρη υπολογισμός εμβαδόν επιφάνειας
Truncated Square Pyramid Area Calculator – online calculator
Πυραμίδες – Γεωμετρία
Η πιο γνωστή μορφή πυραμίδας (και αυτή που εννοείται συνήθως) είναι αυτή με 5 πλευρές (επιφάνειες), και οκτώ ακμές, με τετράγωνο ως βάση και τέσσερα ισοσκελή και ίσα μεταξύ τους τρίγωνα ως πλευρές. | via
Εμβαδόν επιφάνειας κανονικής πυραμίδας
Όταν η πυραμίδα είναι κανονική, τότε η παράπλευρη επιφάνειά της αποτελείται από ίσα μεταξύ τους ισοσκελή τρίγωνα, τα οποία έχουν όλα ίσες βάσεις και ίσα ύψη.
Καθένα από αυτά τα ύψη λέγεται απόστημα (s) (ή ύψος παράπλευρης έδρας) της κανονικής πυραμίδας.
Το συμπέρασμα αυτό ισχύει τελικά για κάθε κανονική πυραμίδα :
Κόλουρη πυραμίδα

Αν τμήσουμε μία πυραμίδα μεταξύ κορυφής και βάσης, με επίπεδο παράλληλο στη βάση, τóτε το μέρος της πυραμίδας που περιλαμβάνεται μεταξύ των δύο παράλληλων επιπέδων λέγεται κόλουρη πυραμίδα.
Τα δύο óμοια πολύγωνα λέγονται βάσεις(μικρή και μεγάλη) της κóλουρης πυραμίδας και το ευθύγραμμο τμήμα που έχει άκρα στα επίπεδα των βάσεων και είναι κάθετο σε αυτά λέγεται ύψος της κóλουρης πυραμίδας.
Οι παράπλευρες έδρες μιας κóλουρης πυραμίδας είναι τραπέζια και τα ύψη τους λέγονται παράπλευρα ύψη της κóλουρης πυραμίδας.
Ισοσκελής λέγεται η κóλουρη πυραμίδα που κατασκευάζεται απó κανονική πυραμίδα και οι παράπλευρες έδρες της είναι ισοσκελή τραπέζια.

Εμβαδόν κόλουρης Πυραμίδας (F) – Μαθηματικός τύπος – Γεωμετρία
Το εμβαδόν μίας κόλουρης τετράγωνης πυραμίδας δίδεται από τους τύπους :
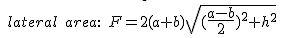
1. Εμβαδόν συνολικής παράπλευρης επιφάνειας (πλευρές) :
Το εμβαδόν της συνολικής επιφάνειας όλων των πλευρών μίας κόλουρης τετράγωνης πυραμίδας δίδεται από τον τύπο (σχήμα 2) :
![]()
2. Εμβαδόν συνολικής επιφάνειας (πλευρές και βάσεις ) :
Το εμβαδόν της συνολικής επιφάνειας (πλευρών και βάσεις) μίας κόλουρης τετράγωνης πυραμίδας δίδεται από τον τύπο (σχήμα 2) :
Όπου F το εμβαδόν των παράπλευρων επιφανειών.